You are currently viewing Δημήτρης Γαβαλάς: Θεός και Μαθηματικά – Το Οντολογικό Επιχείρημα του Gödel

Δημήτρης Γαβαλάς: Θεός και Μαθηματικά – Το Οντολογικό Επιχείρημα του Gödel

Στο κείμενο αυτό παρουσιάζουμε το οντολογικό επιχείρημα του del, που έχει και μαθηματικό-λογικό ενδιαφέρον. Ξεκινώντας από την αντίληψη του Anselm για τον Θεό: «Ο Θεός είναι αυτό, από το οποίο δεν μπορεί να συλληφθεί τίποτα μεγαλύτερο», καταλήγουμε σε αυτή του del: «Ένα θεοειδές ον που κατέχει όλες τις ‘θετικές ιδιότητες’». Το πρόβλημα που τίθεται είναι: Να δειχθεί, με λογική συλλογιστική, ότι: «(Αναγκαστικά) ο Θεός υπάρχει». Το κείμενο συμβάλλει στο να αποφύγει ο αναγνώστης τη γνωστική έκπτωση λόγω θερινής ραστώνης. 

 

  1. Οντολογικά Επιχειρήματα

 

Τα οντολογικά επιχειρήματα είναι επιχειρήματα, με συμπέρασμα ότι ο Θεός υπάρχει, που συνεπάγονται από υποθέσεις οι οποίες υποτίθεται ότι προέρχονται από κάποια άλλη πηγή εκτός από την παρατήρηση του κόσμου -για παράδειγμα, από τον ορθό λόγο και μόνο. Με άλλα λόγια, τα οντολογικά επιχειρήματα είναι επιχειρήματα από αυτά που συνήθως υποστηρίζεται ότι δεν είναι παρά αναλυτικά ή a priori και απαραίτητα παρουσιάζουν το συμπέρασμα ότι ο Θεός υπάρχει.

 

Το πρώτο, και πιο γνωστό, οντολογικό επιχείρημα προτείνεται από τον Anselm of Canterbury (Άνσελμ του Καντέρμπουρυ) τον 11ο αιώνα μ.Χ. Στο κείμενό του Proslogion, ο Άνσελμ ισχυρίζεται ότι αντλεί την ύπαρξη του Θεού από την έννοια ενός όντος από το οποίο δεν μπορεί να συλληφθεί κανένα μεγαλύτερο. Ο Άνσελμ ισχυρίζεται ότι, αν ένα τέτοιο ον δεν υπάρχει, τότε ένα μεγαλύτερο ον -δηλαδή, ένα ον από το οποίο δεν μπορεί να συλληφθεί κανένα μεγαλύτερο, και το οποίο υπάρχει– μπορεί να συλληφθεί. Αλλά αυτό είναι άτοπο: τίποτα δεν μπορεί να είναι μεγαλύτερο από ένα ον από αυτό που δεν μπορεί να συλληφθεί κανένα μεγαλύτερο. Έτσι ένα ον από το οποίο δεν μπορεί να συλληφθεί μεγαλύτερο -δηλαδή, ο Θεός- υπάρχει.

Πιο πρόσφατα, οι Kurt del, Charles Hartshorne, Norman Malcolm και Alvin Plantinga παρουσιάζουν πολυσυζητημένα οντολογικά επιχειρήματα που έχουν ενδιαφέρουσες συνδέσεις με τα προηγούμενα επιχειρήματα των Anselm, Descartes και Leibniz. Από αυτά, τα πιο ενδιαφέροντα είναι των del και Plantinga. Σε αυτές τις δυο περιπτώσεις, ωστόσο, δεν είναι σαφές αν πρέπει πραγματικά να πούμε ότι αυτοί ισχυρίζονται πως τα επιχειρήματά τους είναι αποδείξεις της ύπαρξης του Θεού. Οι κριτικές των οντολογικών επιχειρημάτων ξεκινούν με τον Gaunilo, σύγχρονο του Άνσελμ. Ίσως οι πιο γνωστές κριτικές των οντολογικών επιχειρημάτων οφείλονται στον Kant, στην Critique of Pure Reason (Κριτική του Καθαρού Λόγου).

Στον 21ο αιώνα πολλές πρόσφατες συζητήσεις σχετικά με οντολογικά επιχειρήματα βρίσκονται σε σχετικές συλλογές, εγκυκλοπαίδειες και περιοδικά.

Διαχρονική Εξέλιξη Οντολογικών Επιχειρημάτων:

Anselm / Gaunilo . . . Th. Aquinas . . . Descartes Spinoza Leibniz . . . Hume Kant . . . Hegel . . . Frege . . . Hartshorne Malcolm Lewis Plantinga del . . .

 

Η παλαιότερη και πιο γνωστή εκδοχή του οντολογικού επιχειρήματος διατυπώνεται, λοιπόν, από τον Άνσελμ στο δεύτερο κεφάλαιο του Προσλογίου του. Συνιστά προσπάθεια να συναχθεί η ύπαρξη του Θεού από την ίδια την έννοιά του: αντιλαμβανόμαστε τον Θεό ως το ον, κάποιο μεγαλύτερο του οποίου δεν μπορούμε να συλλάβουμε. Από τη στιγμή που έχουμε αυτή την έννοια, ο Θεός υπάρχει τουλάχιστον στον νου μας ως αντικείμενο νόησης. Ο Θεός υπάρχει, λοιπόν, είτε αποκλειστικά στον νου μας είτε ταυτόχρονα και στον νου μας και στην εξωνοητική πραγματικότητα. Αν όμως ο Θεός υπήρχε μόνο στον νου, τότε μπορούσαμε να συλλάβουμε ένα ον μεγαλύτερο από αυτόν, μεγαλύτερο του οποίου δεν μπορούσαμε να συλλάβουμε: ακριβώς ένα ον που υπάρχει ταυτόχρονα και στον νου και στην εξωνοητική πραγματικότητα. Εφόσον η έννοια ενός όντος μεγαλύτερου από εκείνο του οποίου μεγαλύτερο δεν μπορούμε να συλλάβουμε είναι αδιανόητη, ο Θεός δεν μπορεί να υπάρχει αποκλειστικά στον νου, άρα ο Θεός υπάρχει και στον νου και στην εξωνοητική πραγματικότητα. Η σημαντικότερη κριτική που ασκείται στο επιχείρημα είναι αυτή του Kant, ο οποίος ισχυρίζεται ότι η ‘ύπαρξη’ δεν είναι πραγματικό κατηγόρημα.

 

Η σύγχρονη συζήτηση εστιάζεται σε διαφορετική εκδοχή του επιχειρήματος. Στο τρίτο κεφάλαιο του Προσλογίου ο Άνσελμ προτείνει ότι κάτι του οποίου μεγαλύτερο δεν μπορούμε να συλλάβουμε δεν μπορεί να μην υπάρχει, άρα υπάρχει αναγκαία. Ακολουθώντας αυτή τη γραμμή σκέψης, οι Hartshorne, Plantinga κ.ά. υποστηρίζουν ότι ο Θεός δεν μπορεί να είναι ενδεχομενικό ον που υπάρχει σε κάποιους δυνατούς κόσμους, αλλά όχι σε άλλους. Η ύπαρξη ενός εντελούς όντος είναι είτε αναγκαία είτε αδύνατη. Στην πρώτη περίπτωση ο Θεός υπάρχει σε όλους τους δυνατούς κόσμους, ενώ στη δεύτερη ο Θεός δεν υπάρχει σε κανένα δυνατό κόσμο. Σύμφωνα με αυτή την αντίληψη, αν ένα τέλειο ον είναι δυνατόν να υπάρχει, ο Θεός υπάρχει σε κάθε δυνατό κόσμο, συνεπώς και στον υφιστάμενο κόσμο. Η κρίσιμη προκείμενη σε αυτή τη μορφή του επιχειρήματος είναι η υπόθεση πως η ύπαρξη ενός εντελούς όντος είναι δυνατή˙ δεν είναι αυτονόητα αληθής και μπορεί κάποιος να την απορρίψει χωρίς να υποπίπτει σε ανορθολογισμό. Για τον λόγο αυτό ο Plantinga δέχεται ότι το επιχείρημα δεν αποδεικνύει ή επικυρώνει οριστικά το συμπέρασμά του, αλλά πάντως καθιστά ορθολογική την αποδοχή της ύπαρξης του Θεού.        

 

Πάντως, από την άλλη πλευρά, υποστηρίζεται ότι η Λογική, από τη φύση της, δεν μπορεί να αποδείξει την ύπαρξη κανενός πράγματος, δεν μπορεί δηλαδή να έχει οντολογικές απαιτήσεις. Η Λογική δεν μπορεί να έχει οντολογική αξία, είναι συμβατική διεργασία του νου, η οποία μπορεί να χρησιμοποιηθεί για τη σωστή λειτουργία της σκέψης σύμφωνα με κανόνες. Όταν χρησιμοποιούμε τη Λογική με τρόπο οντολογικό, τότε υποκαθιστούμε το βίωμα με τη νοητική αφαίρεση. Αυτό αποτελεί κρίσιμο σημείο: αφού δεν είναι η Λογική, και οι εξ αυτής τυπικές θεωρίες, που οδηγούν στην απάντηση για την ύπαρξη, τότε ποιο συγκεκριμένα είναι αυτό;  

2.     Οντολογικό Επιχείρημα του Gödel

 

Ο del ήταν πιστός χριστιανός και ανήκε στην Καθολική εκκλησία. Τον απασχολούσε για πολλά χρόνια ένα οντολογικό επιχείρημα υπέρ της ύπαρξης του Θεού, που αποτελεί βελτίωση του επιχειρήματος του Άνσελμ και το οποίο δεν δημοσίευσε όσο ζούσε, αλλά επανειλημμένα το είχε επιδείξει σε φίλους του. Δημοσιεύτηκε το 1987, εννέα χρόνια μετά τον θάνατό του. Ο del μάλιστα το θεωρεί απόδειξη της ύπαρξης του Θεού, αλλά συνήθως αναφέρεται απλώς ως επιχείρημα υπέρ της ύπαρξης του Θεού. Μια πρώτη σκιαγράφηση της απόδειξης υπάρχει ήδη στο σημειωματάριο του del από το 1941. Το 1970 ο del δείχνει αυτή την απόδειξη στον φοιτητή του Dana Scott. Ο Scott ​​σημειώνει την απόδειξη και την παρουσιάζει στο σεμινάριό του στο Πανεπιστήμιο του Princeton το Φθινόπωρο του 1970. Από τότε και μετά, η απόδειξη του del κυκλοφορεί ευρέως.

 

Όπως είδαμε, στο Proslogion, ο Άνσελμ αρχίζει με τη σύλληψη ενός όντος από το οποίο ανώτερο δεν μπορεί να νοηθεί, και κορυφώνει το οντολογικό του επιχείρημα πως ένα ον ανώτερο από αυτό που δεν μπορεί να νοηθεί ενυπάρχει στη νόηση, διότι ακόμα και ο άφρων κατανοεί την πρόταση όταν την ακούει. Όμως, αν υπήρχε μονάχα στη νόηση, τότε μπορούσε να συλληφθεί ένα ανώτερο ον που υπήρχε στην πραγματικότητα. Αυτό το υπέρτατο επίλεκτο ον διαθέτει ουσιώδη αυθυπαρξία, ώστε είναι προτιμότερο να είναι από το να μην είναι, άρα είναι ζων, πάνσοφο, παντοδύναμο, αληθές, δίκαιο, μακάριο, άυλο, απαράλλαχτο και αιώνιο καθαυτό.        

Το αρχικό οντολογικό επιχείρημα του Άνσελμ είναι το εξής:

Έτσι, ακόμη και ο άφρων είναι πεπεισμένος πως, τουλάχιστον διανοητι­κά, υπάρχει κάτι, ανώτερο του οποίου δεν μπορεί να συλληφθεί. Διότι όταν το ακούει, το καταλαβαίνει. Και οτιδήποτε γίνεται κατανοητό υπάρχει διανοητικά. Και πείθεται ότι αυτό, ανώτερο του οποίου δεν υπάρχει, δεν μπορεί να υπάρχει μόνο διανοητικά. Διότι, ας υποθέσουμε πως υπάρχει μόνο διανοητικά: τότε μπορεί να συλληφθεί διανοητικά πως υπάρχει και στην πραγματικότητα, κάτι το οποίο είναι ανώτερο. Συνεπώς, αν εκείνο, ανώτερο του οποίου δεν υπάρχει, υπάρχει μόνο διανοητικά, υπάρχει κάτι ανώτερο αυτού του οποίου ανώτερο δεν υπάρχει, κάτι που είναι αδύνατον/ άτοπο (Proslogion ΙΙ).

 

Το επιχείρημα γράφεται στην παρακάτω βηματική αλληλουχία:

  1. Ο Θεός εξ ορισμού είναι το υπέρτατο Ον, δηλαδή το Ον, ανώτερο του οποίου δεν μπορεί να συλληφθεί διανοητικά.

  2. Η έννοια του Θεού υπάρχει στην ανθρώπινη διάνοια.

  3. Ας υποθέσουμε ότι ο Θεός υπάρ­χει μόνο διανοητικά και όχι στην πραγματικότητα.

  4. Η έννοια του Θεού που υπάρχει και στην πραγματικότητα υπάρχει στην
    ανθρώπινη διάνοια.

  5. Ένα Ον που υπάρχει στην ανθρώπινη διάνοια, αλλά και στην πραγματικό­τητα, είναι ανώτερο ενός Όντος που υπάρχει μόνο διανοητικά.

  6. Από τα βήματα 1 έως 5 προκύπτει πως μπορεί να συλληφθεί διανοη­τικά η ύπαρξη ενός Όντος ανώτερου του Θεού (που εξ ορισμού από το 1 είναι το ανώτερο Ον που μπορεί διανοητικά να συλληφθεί), κάτι που όμως οδηγεί σε άτοπο.

  7. Συνεπώς, η υπόθεση 3 είναι λάθος, οπότε ο Θεός υπάρχει και στην πραγμα­τικότητα.

 

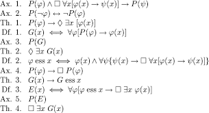
Η βελτίωση και εξέλιξη του επιχειρήματος του Άνσελμ από τον del είναι η εξής:

Ορισμός 1. Το x έχει την θεοειδή ιδιότητα αν και μόνο αν το x έχει ως ουσιώδεις ιδιότητες εκείνες και μόνο εκείνες τις ιδιότητες που είναι θετικές.

Ορισμός 2. Μια ιδιότητα A αποτελεί μια ουσία του x αν και μόνο αν για κάθε ιδιότητα B, το x έχει αναγκαστικά την ιδιότητα B αν και μόνο αν η A συνεπάγεται τη B.

Ορισμός 3. Το x αναγκαστικά υπάρχει αν και μόνο αν κάθε ουσία του x αναγκαστικά εξηγείται με κάποιο παράδειγμα.

Αξίωμα 1. Αν μια ιδιότητα είναι θετική, τότε η άρνηση της δεν είναι θετική.

Αξίωμα 2. Κάθε ιδιότητα που συνεπάγεται από μια θετική ιδιότητα είναι επί­σης θετική.

Αξίωμα 3. Η ιδιότητα του να είναι κάτι θεοειδές είναι θετική.

Αξίωμα 4. Αν μια ιδιότητα είναι θετική τότε είναι και αναγκαστικά θετική.

Αξίωμα 5. Η αναγκαία ύπαρξη είναι θετική ιδιότητα.

Αξίωμα 6. Για κάθε ιδιότητα P, αν η P είναι θετική, τότε το να έχει κάτι αναγκαστικά την ιδιότητα P είναι επίσης θετική ιδιότητα.

Θεώρημα 1. Αν μια ιδιότητα είναι θετική, τότε είναι συνεπής (πιθα­νώς εξηγείται με κάποιο παράδειγμα).

Πόρισμα 1. Η θεοειδής ιδιότητα είναι συνεπής.

Θεώρημα 2. Αν κάτι έχει την θεοειδή ιδιότητα, τότε η θεοειδής ιδιότητα αποτελεί μια ουσία αυτού.

Θεώρημα 3. Αναγκαστικά η θεοειδής ιδιότητα εξηγείται με κάποιο παράδειγ­μα.

 

Χρησιμοποιώντας Τροπική Λογική, το παραπάνω Ον­τολογικό Επιχείρημα του del γράφεται ως εξής -αυτή είναι και η μορφή που το οντολογικό επιχείρημα υπάρχει στις προσωπικές σημειώσεις του del:

 

 

 

 

 

Υπάρχουν και πιο επεξεργασμένες εκδοχές όπως του Scott και του Anderson.

 

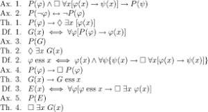
  1. Η Εκδοχή του Επιχειρήματος κατά Anderson και Σχόλια

 

Υπάρχει σταθερά αναπτυσσόμενη βιβλιογραφία σχετικά με τα οντολογικά επιχειρήματα που αναπτύσσει ο del στα σημειωματάριά του, αλλά τα οποία δεν εμφανίζονται σε έντυπη μορφή παρά μετά από τον θάνατό του. Αυτά τα επιχειρήματα συζητούνται, σχολιάζονται και τροποποιούνται από διάφορους κορυφαίους λογικολόγους: το αποτέλεσμα είναι μια οικογένεια επιχειρημάτων με άψογα λογικά διαπιστευτήρια. Εδώ, δίνουμε σύντομη παρουσίαση της εκδοχής του επιχειρήματος που έχει αναπτυχθεί από τον Anderson και, στη συνέχεια, κάνουμε κάποια σχόλια για αυτή την εκδοχή.

 

Ορισμός 1: x είναι θεοειδές αν και μόνο αν το x έχει ως ουσιώδεις ιδιότητες αυτές και μόνο αυτές που είναι θετικές.

Ορισμός 2: Το Α είναι μια ουσία του x αν και μόνο αν για κάθε ιδιότητα B, το x έχει τη B αναγκαστικά αν και μόνο αν το A συνεπάγεται τη B.

Ορισμός 3: Το x υπάρχει αναγκαστικά αν και μόνο αν κάθε ουσία του x είναι αναγκαστικά παραδειγματική.

 

Αξίωμα 1: Αν μια ιδιότητα είναι θετική, τότε η άρνησή της δεν είναι θετική.

Αξίωμα 2: Κάθε ιδιότητα που συνεπάγεται από -δηλαδή, αυστηρά υποδηλώνεται από- μια θετική ιδιότητα είναι θετική.

Αξίωμα 3: Η ιδιότητα του θεοειδούς είναι θετική.

Αξίωμα 4: Αν μια ιδιότητα είναι θετική, τότε είναι αναγκαστικά θετική.

Αξίωμα 5: Η αναγκαστική ύπαρξη είναι θετική.

Αξίωμα 6: Για οποιαδήποτε ιδιότητα P, αν η P είναι θετική, τότε το να είναι αναγκαστικά P είναι θετικό.

 

Θεώρημα 1: Αν μια ιδιότητα είναι θετική, τότε είναι συνεπής, δηλαδή, πιθανώς παραδειγματική.

Πόρισμα 1: Η ιδιότητα του θεοειδούς είναι συνεπής.

Θεώρημα 2: Αν κάτι είναι θεοειδές, τότε η ιδιότητα να είναι θεοειδές είναι ουσία αυτού του πράγματος.

Θεώρημα 3: Αναγκαστικά, η ιδιότητα να είναι θεοειδές είναι παραδειγματική (εξηγείται με κάποιο παράδειγμα).

 

  1. Συζήτηση

 

Σημαντικό ζήτημα είναι ότι με την απόδειξη δεν παρέχεται κανένας ορισμός της έννοιας της ‘θετικής ιδιότητας’. Το πολύ, τα αξιώματα που περιλαμβάνουν αυτή την έννοια μπορούν να ληφθούν για να παρέχουν ένα μερικό υπόδηλο ορισμό.

 

Ο del θέλει να συμπεράνουμε ότι υπάρχει μόνο ένα διαισθητικό, θεολογικά ενδιαφέρον σύνολο ιδιοτήτων που είναι τέτοιο ώστε, η ιδιότητα να έχει ως ουσιαστικές ιδιότητες μόνο τις ιδιότητες που ανήκουν σε αυτό το σύνολο, είναι παραδειγματικό. Όμως, από τη μία πλευρά, για ποιο λόγο πρέπει να θεωρούμε ότι υπάρχει κάποιο θεολογικά ενδιαφέρον σύνολο ιδιοτήτων που ανταποκρίνεται στις προδιαγραφές του del; Από την άλλη πλευρά, για ποιο λόγο πρέπει να αρνηθούμε ότι, αν υπάρχει ένα σύνολο θεολογικά ενδιαφέρουσας σειράς ιδιοτήτων που  συμμορφώνεται με τις προδιαγραφές του del, τότε υπάρχουν πολλά θεολογικά σύνολα ιδιοτήτων που συμμορφώνονται επίσης με αυτές τις προδιαγραφές;

 

Επιπλέον, δεν είναι καθόλου σαφές ποια πρόσθετη εικόνα για τη φύση και την ύπαρξη του ‘Θεού’ μπορεί να αποκτηθεί με την εντασιακή άποψη της Τροπικής Λογικής, με την έννοια της ουσίας ενός αντικειμένου και της αναγκαίας ύπαρξης, σε σύγκριση με μια απλώς εκτασιακή άποψη. Η εφαρμογή της Τροπικής Λογικής φαίνεται να είναι περιττή, δεδομένου ότι μπορεί να αρκεί μια εκτασιακή ερμηνεία των αξιωμάτων. Τα αξιώματα και οι ορισμοί του del μπορούν να παρέχουν εξίσου μια απόδειξη της αναγκαστικής ύπαρξης όχι μόνον ενός υπέρτατου καλού, αλλά και ενός υπέρτατου κακού.

 

Η πρωτότυπη απόδειξη δια της Τροπικής Λογικής, από την οποία προέρχεται η αναγκαστική ύπαρξη του Θεού από την πιθανή ύπαρξη του Θεού, είναι ένα ερώτημα. Οι κεντρικές βασικές έννοιες της απόδειξης, δηλαδή ‘G’ και ‘P’, παραμένουν αόριστες, έτσι ώστε να είναι δυνατές και αντι-θεϊκές ερμηνείες. Το κύριο ερώτημα μιας οντολογικής απόδειξης της ύπαρξης του Θεού παραμένει αναπάντητο, δηλαδή το ερώτημα αν οι ιδιότητες της παντοδυναμίας και της παντογνωσίας είναι παραδειγματικές για μια ύπαρξη.

 

  1. «Οι Επιστήμονες Υπολογιστών Αποδεικνύουν την Ύπαρξη του Θεού»

 

Το 2013 οι Christoph Benzmuller & Bruno Woltzenlogel Paleo αποδεικνύουν, με τη βοήθεια Η/Υ, την ορθότητα και συνέπεια του Επιχειρήματος του Gödel. 

 

Παραλλαγές του πιο πάνω τίτλου εμφανίζονται στον διεθνή τύπο το Φθινόπωρο του 2013. Δυστυχώς, πολλά ΜΜΕ με τις αναφορές τους είχαν μόνο μέτρια επιτυχία στο να ενημερώσουν το ευρύ κοινό τι είχε πραγματικά επιτευχθεί και τι όχι. Το κοινό στον Δυτικό κόσμο αναφέρει ότι ενεργοποιήθηκε από αυτή την εργασία, αλλά φαίνεται να απορρίπτει το οντολογικό επιχείρημα -η ‘γενική ομοφωνία’ δεν υφίσταται πλέον στην εποχή μας.

 

Σε αυτό το τμήμα αναφερόμαστε συνοπτικά σε κάποια στοιχεία της κοινής εργασίας των συγγραφέων στην υπολογιστική μεταφυσική (computational metaphysics). Πιο συγκεκριμένα, τονίζεται η υποστηριζόμενη από υπολογιστή ανάλυση των μεταβλητών και των πρόσφατων τροποποιήσεων του σύγχρονου οντολογικού επιχειρήματος του Gödel για την ύπαρξη του Θεού. Στα διεξαγόμενα πειράματα, αυτοματοποιημένα συστήματα απόδειξης θεωρημάτων ανακαλύπτουν κάποια ενδιαφέροντα και σχετικά με το θέμα γεγονότα.

 

Μπορεί κάποιος να πει ότι το οντολογικό επιχείρημα επιτυγχάνει τουλάχιστον με την ακόλουθη έννοια: δείχνει ότι η πίστη σε ένα ‘θεοειδές’ ανώτατο ον δεν είναι τετριμμένα ανορθολογική. Υπάρχουν συνεπείς αξιωματοποιήσεις που συνεπάγονται την αναγκαστική ύπαρξη ενός θεοειδούς όντος. Όπως για κάθε αξιωματοποίηση, και όχι μόνο για εκείνη με θρησκευτικό θέμα, παραμένει συχνά ‘θέμα πίστης’ να πιστεύουμε στο αντίκρισμα (αλήθεια) των προτεινόμενων αξιωμάτων στον πραγματικό κόσμο.

 

Η βασική συμβολή είναι η τεχνολογική προσέγγιση και οι μηχανισμοί που μπορούν να υποστηρίξουν καρποφόρα περαιτέρω λογικές έρευνες σε αυτή την περιοχή. Ακόμη, αυτοί οι μηχανισμοί μπορεί τελικά να είναι χρήσιμοι για την τακτοποίηση ορισμένων ανοιχτών ερωτημάτων. Συγκεκριμένα, η τεχνολογία αυτή φαίνεται έτοιμη να χρησιμοποιηθεί με στόχο την ελαχιστοποίηση λογικών ελαττωμάτων σε αυτόν τον τομέα. Αυτοί οι μηχανισμοί πρέπει μακροπρόθεσμα να είναι σε θέση να διευκολύνουν σημαντικά την τεχνικά εμπλεκόμενη πρακτική εργασία στη μεταφυσική.

 

  1. Έξοδος

 

Ο del κάνει την εξής παρατήρηση σχετικά με τις συνέπειες του έργου του: «Ήταν αναμενόμενο ότι αργά ή γρήγορα η απόδειξή μου θα αξιοποιούνταν από τη θρησκεία, καθώς και αυτή είναι υπό μια ορισμένη έννοια δικαιολογημένη». Ο del πιστεύει πως το πρώτο θεώρημα μη πληρότητας επιβεβαιώνει την πλατωνική άποψη ότι υπάρχει μια υπερ-αισθητή σφαίρα αιώνιων αληθειών. Ο πλατωνισμός βέβαια δεν μπορεί να εξισωθεί με θρησκεία ή μυστικισμό, ωστόσο φαίνεται πως στις απόψεις ορισμένων υπάρχει κάποια συνάφεια.   

 

Ο del, όπως και ο Λάιμπνιτς, πιστεύει ότι η ‘οντολογική απόδειξη για την ύπαρξη Θεού’ είναι έγκυρη σε κάποια εκδοχή της. Το σκεπτικό για τη συγκεκριμένη απόδειξη είναι ότι, για να αποφανθούμε σχετικά με την ύπαρξη Θεού, πρέπει πρώτα να ορίσουμε επακριβώς την έννοια ‘Θεός’. Όπως έχει πει ο del, βρισκόταν πολύ κοντά στην τελειοποίηση μιας νέας παραλλαγής του οντολογικού επιχειρήματος, την οποία πέτυχαν οι επόμενοι.

 

Υπάρχει όμως και ένα ακόμα ερώτημα, το οποίο είναι το πλέον ουσιαστικό, δηλαδή η αναφορικότητα της ύπαρξης. Μπορεί τελικά με τις παραδοχές που έκανε ο del να ‘αποδείχθηκε’ η ύπαρξη του Θεού, αλλά δεν συζητήθηκε και δεν απαντήθηκε το ως προς τι αυτής της ύπαρξης: ως προς τι υπάρχει ο Θεός; Ποιο είναι το πλαίσιο/ σύστημα αναφοράς Του; Φυσικά αυτό δεν είναι θεολογικό ερώτημα, αλλά επιστημονικό που πρέπει να συζητηθεί.

Παυλίνα Παμπούδη

Η Παυλίνα Παμπούδη σπούδασε στη Φιλοσοφική Σχολή του Καποδιστριακού Πανεπιστημίου (Ιστορία – Αρχαιολογία) και παρακολούθησε μαθήματα Μαθηματικών στη Φυσικομαθηματική Σχολή και ζωγραφικής στην Σχολή Καλών Τεχνών στην Αθήνα και στο κολέγιο Byahm Show School of Arts του Λονδίνου. Έχει εκδώσει μέχρι στιγμής 15 ποιητικές συλλογές, 3 βιβλία πεζογραφίας, περισσότερα από 40 βιβλία δήθεν για παιδιά και 31 μεταφράσεις λογοτεχνικών έργων. Επίσης, έχει κάνει 3 ατομικές εκθέσεις ζωγραφικής, και έχει γράψει σενάρια για το ραδιόφωνο και την τηλεόραση, καθώς και πολλά τραγούδια.

Αφήστε μια απάντηση

This site uses Akismet to reduce spam. Learn how your comment data is processed.